1 前言
我国
建筑耗能超过全国总能耗的1/4,随着我国国民经济水平和人民生活水平的提高,建筑耗能将继续增加,据预测,将达到全国总能耗的1/3以上。我国的
公共建筑数量多,建筑规模大,耗能十分巨大,浪费也很严重。为改善公共建筑室内环境,提高室内的舒适性,提高暖通空调系统的能源利用效率,降低能源消耗,减少能源浪费,国家建设部和国家质量监督检验检疫总局联合发布了《公共
建筑节能设计标准》GB50189,并于2005年7月1日在全国实施。
为解决我国今后能源紧缺的问题,建筑节能是有效的途径,大型公共建筑的节能潜力在30%以上,所以《
公共建筑节能设计标准》GB50189的制定与实施是及时和非常重要的,受到建筑业的瞩目。本文就该标准实施中围绕
建筑玻璃的选择谈一点看法,敬请同行指正。
2 窗墙面积比
该标准中定义,每个朝向
窗墙比是指每个朝向外墙面上的窗、阳台
门及幕墙的透明部分的总面积与所在朝向建筑的外墙面的总面积(包括该朝向上的窗、阳台门及幕墙的透明部分的总面积)之比。一般普通窗、阳台门及幕墙透明部分的
保温隔热性能比外墙差很多,窗墙面积比越大,
采暖和空调能耗也越大。因此,为降低
建筑能耗,应对建筑物的窗墙面积比做出限制。现代化公共建筑的窗墙面积比越来越大,人们追求公共建筑通透明亮,
玻璃幕墙非常流行,
建筑立面美观,建筑形态丰富。考虑上述两种因素,该标准中将窗墙面积比的上限定为0.7。据此,有人认为,由于窗墙面积比的上限定为0.7,今后在公共建筑中便不能应用玻璃幕墙,因为玻璃幕墙的窗墙面积比超过0.7,甚至达到1.0。这是错误的说法,因为该标准中定义的窗墙面积比中的窗面积是指幕墙的透明部分,不是幕墙的总面积,应在幕墙的总面积中扣除各层
楼板以及楼板下面梁的面积,所以窗墙面积比一般不会超过0.7。即使某层立面采用
全玻璃幕墙,由于窗墙面积比定义的是整个朝向的,综合计算整个朝向的窗墙面积比一般也不会超过0.7。设计公共建筑主要考虑的是建筑的外形、立面效果和使用功能,因此完全有可能某个朝向的窗墙面积比超过0.7。为了使得建筑的创作性工作得以实现,满足建筑的新颖性、多样性和建筑立面的复杂、多变,同时又使得建筑物满足节能设计要求,该标准引入建筑
围护结构的总体
热工性能是否达到要求的权衡判断。权衡判断不拘泥于建筑围护结构各个局部的热工性能,而是着眼于建筑总体热工性能是否满足节能标准的要求。
权衡判断是一种性能化的设计方法,具体做法是现构想出一栋虚拟的建筑,称之为参考建筑,然后分别计算参考建筑和实际设计建筑的全年采暖和空调能耗,并依据这两个能耗的比较结果做出判断。当实际设计建筑的能耗大于参考建筑的能耗时,调整部分设计参数,例如提高窗户的保温隔热性能、缩小窗户的面积等等,重新计算所设计建筑的能耗,直至设计建筑的能耗不大于参考建筑的能耗为止。
因此,对于某个朝向窗墙面积比超过0.7的玻璃幕墙不是绝对的不许采用,而是许可通过调整该朝向玻璃幕墙的保温隔热性能,甚至是调整整个建筑围护结构的保温隔热性能,采用权衡判断方法,使得建筑的总体热工性能满足节能设计标准即可。
该标准中,权衡判断方法是贯彻始终的,例如该标准规定:屋顶透明部分的面积不应大于屋顶总面积的20%,如果不能满足要求时,允许采用权衡判断方法,调整建筑围护结构的保温隔热性能,使得建筑的总体热工性能满足节能设计标准即可。
3 玻璃幕墙(包括外窗)热工性能表征
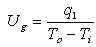
玻璃是透明材料,其热工性能用两个参数来表征,其一是
传热系数U
g值,它是用来表征当室内温度 与室外温度 不相等时,通过单位面积、单位温差条件下、单位时间内,玻璃传递的热量定义为玻璃的传热系数。

式中q
1—由室外传入室内的热量。
其二是遮蔽系数 ,它是用来表征当
太阳辐射照度是I,通过单位面积玻璃射入室内的总
太阳能等于q
2,则玻璃的遮蔽系数定义为

上一页12下一页