全玻璃幕墙和
点支式玻璃幕墙的热工性能用传热系数U
w和
遮阳系数S
cw表征,全玻璃幕墙完全由玻璃组成,点支式玻璃幕墙的孔径非常小,与
玻璃面板比可忽略不计,所以全玻璃幕墙和点支式玻璃幕墙的传热系数和
遮阳系数与
玻璃板的相同,即
Uw=Ug
Scw=Scg
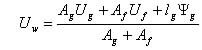
有框玻璃幕墙的热工性能用传热系数UW和遮阳系数SCW表征,由于边框的作用不可忽略,UW和SCW分别按下式计算

式中 U
g——玻璃板的传热系数;
U
f——
框架的传热系数;
Ψ
g——玻璃板和框架通过
衬垫材料的
线传热系数。
A
g——玻璃板面积;
A
f——框加面积;
l
g——AО蹇墒又艹ぁ?

式中 S
cg——玻璃板的遮阳系数;

如果玻璃幕墙有
外遮阳,则总遮阳系数等于幕墙的遮阳系数与外遮阳的遮阳系数的乘积。
《公共
建筑节能设计标准》GB50189对不同地区、不同窗墙面积比单一朝向的
透明幕墙的传热系数和遮阳系数做出规定,需要说明的是,该标准允许采用面积加权的原则,使得某朝向整个玻璃幕墙的热工性能达到该标准的要求。有些宾馆大堂采用吊挂式全玻璃幕墙,一般全玻璃幕墙玻璃尺寸超长,无法进行钢化、
夹层和
中空,就是采用普通
浮法玻璃,因此其热工性能极差,但可以通过提高该朝向墙面上其他玻璃热工性能的方法,使该朝向整个墙面的玻璃幕墙达标即可。因此,认为《公共建筑节能设计标准》GB50189实施后,全玻璃幕墙便不能采用的说法是错误的。
4 建筑玻璃的选择
《公共建筑节能设计标准》GB50189对不同地区玻璃幕墙的热工性能提出不同的要求,如对于我国严寒地区,冬季漫长、寒冷,建筑的采暖是主要能耗,因此仅对玻璃的传热系数提出要求,而对遮阳系数没提要求。事实上,对于严寒地区来说,玻璃幕墙的遮阳系数越大越好,因为遮阳系数大有利于降低建筑冬季的采暖能耗和照明能耗。依据《公共建筑节能设计标准》GB50189的要求,在严寒地区,只有采用
中空玻璃、甚至是Low-E中空玻璃,才能满足节能设计标准。
对于我国的夏热冬冷地区和夏热冬暖地区,建筑的夏季制冷是主要能耗,因此应降低玻璃幕墙的遮阳系数,《公共建筑节能设计标准》GB50189对应用于夏热冬冷地区和夏热冬暖地区的玻璃幕墙遮阳系数有明确规定。降低玻璃幕墙遮阳系数的方法很多,如采用
着色玻璃、阳光控制
镀膜玻璃、彩铀玻璃和遮阳系统,究竟采用何种遮阳方式,应结合建筑学通盘考虑决定。
5 结束语
《公共建筑节能设计标准》GB50189刚刚开始实施,如何正确选择建筑玻璃才能满足建筑节能设计要求还须在实践中不断积累经验,我们有理由相信,《公共建筑节能设计标准》GB50189的实施,不仅在建筑节能方面起到关键性作用,也必将促进和推动建筑
玻璃行业的技术进步和发展。
与【】相关热点资讯:
【了解更多 “” 相关信息请访问
幕墙专区 】
上一页12下一页